The following concepts apply to this lesson. An object falls from a high building and hits the ground in 90.

Free Fall From Space Pdf Free Download
Free fall motion acceleration velocity gravity air drag model development and potential model flaws.
Free fall worksheet answers physics classroom. Ignoring air resistance what will its velocity be after 6 seconds of falling. An object falls from a high building and hits the ground in 9 0. You will be presented with a position-time graph and a question.
Ignoring air resistance what will its velocity be after 6 seconds of falling. Ignoring air resistance what will its velocity be after 6 seconds of falling. Free fall problems worksheet name physics period for the following problems show all work and write the answers in the correct blank.
An object falls from a high building and hits the ground in. Free fall acceleration on earth is just a number a number that you should memorize if you have a professional reason for learning physics. In each activity you will be presented with a question that you will have to answer.
The observation deck of tall skyscraper 370 m above the street. The dropper drips water and the strobe illuminates the falling droplets at a regular rate - say once every 02 seconds. Draw a box around your answers.
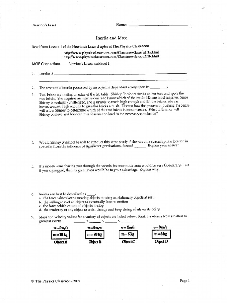
Free fall problems worksheet name physics period for the following problems show all work and write the answers in the correct blank. G 981 ms2 v g t d ½ g t2 1. The pictoral graphical numerical and formulaic treatment of free fall is addressed by the variety of resources described in this teacher Toolkit.
Students may benefit from learning about these prior to the lesson perhaps as a homework assignment. Using the Free Fall Concept Builder is quite simple. Free Fall Problems Worksheet Name _____ Physics Period _____ For the following problems show all work and write the answers in the correct blank.
The Physics Classroom Concept Builders Kinematics Free Fall The Free Fall Concept Builder is a concept-building tool that provides the learner with multiple practice modes for understanding the conceptual and mathematical nature of the velocity and acceleration of a free-falling object. Related posts of Acceleration And Free Fall Worksheet Answers. The Toolkit is supported by Lesson 5 of the Kinematics Chapter at The Physics Classroom Tutorial.
Scribd is the worlds largest social reading and publishing site. Kinematic equations relate the variables of motion to one another. Physics classroom graph that motion answers physics classroom graph that motion answers.
As mentioned in lesson 5 a free falling object is an object that is falling under the sole influence of gravity. Free-fall acceleration is often witnessed in a physics classroom by means of an ever-popular strobe light demonstration. The Physics Classroom serves students teachers and classrooms by providing classroom-ready resources that utilize an easy-to-understand language that makes learning interactive and multi-dimensional.
Physics classroom motion graphs physics worksheet answers. The variables include acceleration a time t displacement d final velocity vf and initial velocity vi. Free Fall - HTML Version of Complete Toolkit.
Identify two times and use the distance fallen values to support your answer. An object falls from a high building. Back To Acceleration And Free Fall Worksheet Answers.
At which of the listed times is the speed the greatest. The room is darkened and a jug full of water is connected by a tube to a medicine dropper. I drop a penny from the top of the tower at the front of Fort Collins High School and it.
The Physics Classroom Concept Builders Kinematics Free Fall The Free Fall Concept Builder is a concept-building tool that provides the learner with multiple practice modes for understanding the conceptual and mathematical nature of the velocity and acceleration of a free-falling object. How fast was the rock traveling as it struck the ground. The Physics Classroom Concept Builders Kinematics Free Fall Teacher Notes Notes.
Free Fall - Directions How it Works. An object falls from a high building. This page demonstrates the process with 20 sample problems and accompanying.
There are three different activities each with a different emphasis. An object falls from a high building. Freefall Worksheet Work the problems using the following equations and dont forget to give your answer using the correct number of significant figures.
The Free Fall Concept Builder is an adjustable-size file that displays nicely on smart phones on tablets such as the iPad on Chromebooks and on laptops and desktops. An object falls from a high building. If the falling time of a free-falling object is doubled the distance fallen increases by a factor of _____.
Free fall the physics classroom. Each toolkit can be viewed in three different ways. Free Fall Problems Worksheet Name _____ Physics Period _____ For the following problems show all work and write the answers in the correct blank.
Each equation contains four variables. Written by teachers for teachers and students The Physics Classroom provides a wealth of resources that meets the varied needs of both students and teachers. Free Fall Problems Worksheet Physics Name ___ w- -__ Perid I----___ _ For the following problems show all work and write the answers in the correct blank.
If values of three variables are known then the others can be calculated using the equations. These words are interesting and important words or phrases found throughout this lesson.
![]()
Physics Unit 1 Free Fall Practice Problems Worksheet Tpt
![]()
Free Fall Lesson Plans Worksheets Lesson Planet

Universal Gravitation Concept Builder An Interactive Tool In Which Students Predict The Effect Of Varying Mass And Fun Education Gravitation Science Education

Physical Science Acceleration Worksheet Unique Speed Velocity And Acceleration Calculations Wo In 2021 Physics Answers Word Problem Worksheets Writing Linear Equations
Phys A And B Dl Answers To Physics B Multiple Choice Practice Final

Static Key Pdf Fc Summit K12 Nj Us
![]()
Physics Unit 1 Free Fall Practice Problems Worksheet Tpt

Uniform Circular Motion Angular Displacement Velocity Acceleration Worksheet Answers Sumnermuseumdc Org

Kinematics Equations Physics Classroom Tessshebaylo

Graphing Free Fall Motion Showing Acceleration Video Lesson Transcript Study Com

Engineering Futures Atodt2 Profile Pinterest

Projectile Motion Vectors And Projectiles Pdf Free Download

Introduction To Free Fall Physics Physics Classroom Free Falling
Phys A And B Dl Answers To Physics B Multiple Choice Practice Final

Dune Buggy Challenge Lab The Physics Classroom

What Is The Synonym Of Projectile Motion
Phys A And B Dl Answers To Physics B Multiple Choice Practice Final
![]()
Electric Field Answers Static Electricity Name Electric Field Read From Lesson 4 Of The Static Electricity Chapter At The Physics Classroom Course Hero

Kinematics Practice Problems Worksheet Kinematics Worksheet With Answers Nidecmege Word Problem Worksheets Scientific Notation Worksheet Question Paper
Phy 112 Collisions Lab Collision Momentum

The Physics Classroom Projectile Motion Answers

How To Solve A Free Fall Problem Simple Example Youtube
Phys A And B Dl Answers To Physics B Multiple Choice Practice Final
![]()
Physics Unit 1 Free Fall Practice Problems Worksheet Tpt

Physics 11 Momentum Impulse Worksheet Answers
![]()
Physics Unit 2 Free Fall And Terminal Velocity Force Worksheet

Describing Motion Verbally With Distance And Displacement Pdf Free Download
![]()
Physics Unit 2 Free Fall And Terminal Velocity Force Worksheet

Motion In One Dimension Acceleration Worksheet Answers Promotiontablecovers
Free Fall Motion Practice 1d Kinematic Motion Youtube

Free Fall Worksheet Answers Problems Answer Worksheets Matter Physics Math Algebra Computer Games Single Digit Addition Kindergarten Sumnermuseumdc Org
Drawing Free Body Diagrams Force Physical Quantities

Physics Vector Addition Worksheets Answers Worksheet Graphical Practical Math Skills Kindergarten Lessons Free Year 3 Gr Fun Sumnermuseumdc Org
![]()
Coloumbs Law Quiz Static Electricity Name Coulomb S Law Read From Lesson 3 Of The Static Electricity Chapter At The Physics Classroom Mop Connection Course Hero
Kinematic Sample Problems Bullet Acceleration
![]()
Freefall Worksheet Pdf Free Fall Problems In 1 Dimension Honors Physics Name Good Techniques And Habits For Solving Problems Free Fall Problems Draw A Course Hero
![]()
Untitled10 Motion In One Dimension Name Motion Problems Read From Lesson 6 Of The 1 D Kinematics Chapter At The Physics Classroom Course Hero
![]()
Acceleration Of Free Fall Experiment With Light Gate Worksheet By Physics Hq
1dkinall Velocity Acceleration
![]()
Free Fall Acceleration Worksheet By Lesson Universe Tpt
![]()
3 N765 Kg 324 Ms 2 323568 Ms 2 The Final Speed Vf Can Be Determined Using A Course Hero
![]()
Newtonslaws9 Newton S Laws Name Free Body Diagrams Read From Lesson 2 Of The Newton S Laws Chapter At The Physics Classroom Course Hero

Physics Worksheet Lesson Standard Model 1 Worksheets Answers Sumnermuseumdc Org
2 Stage Rocket Exercise Acceleration Rocket
Physics Free Fall Worksheet Answers Promotiontablecovers

Charge And Electricity Worksheet Answers Sumnermuseumdc Org
![]()
Explodingcarts Docx From The Physics Classrooms Physics Interactive Http Www Physicsclassroom Com Exploding Carts Interactive Purpose To Analyze The Course Hero
Mrsmartinmath Licensed For Non Commercial Use Only Kinematics

Momentum Impulse And Momentum Change Pdf Free Download
![]()
Physics Unit 2 Free Fall And Terminal Velocity Force Worksheet

Charge Physics Pages 1 18 Flip Pdf Download Fliphtml5

Universal Gravitation Worksheet Physics Classroom Answers Cute766

28 Kinematics Worksheet 1 Answers Worksheet Resource Plans Cute766
Student Exploration Free Fall Laboratory Answer Key

Physics Classroom Free Body Diagram Practice Updated With All Answers Youtube
![]()
Physics Unit 2 Free Fall And Terminal Velocity Force Worksheet
Cp Projectile Motion Webquest Copy Acceleration Mass
![]()
Explodingcarts Docx From The Physics Classroom U2019s Physics Interactive Http Www Physicsclassroom Com Exploding Carts Interactive Purpose To Analyze Course Hero

The Atwood S Machine And Newton S Second Law Of Motion Computer Lab Conceptual Science Lessons Com

Worksheet 3 Kinematics Equations Answers Review Sumnermuseumdc Org

32 1d Motion Ideas Physics Motion Force And Motion

Engineering Futures Atodt2 Profile Pinterest

Physics Worksheet A Free Fall Answers
Projectile Motion Force Euclidean Vector
![]()
Free Fall Worksheet Docx Physics Mr Hotkowski Free Fall Worksheet A Free Falling Object Is An Object That Is Falling Under The Sole Influence Of Course Hero

Kinematic Equations Physics Classroom

Free Fall Physics Practice Problems Video Lesson Transcript Study Com

Solved Lab Gravitational Acceleration Free Fall Physics Math Worksheets Fractions Simple Problems Answers Basic Kindergarten Timetable Worksheet Sumnermuseumdc Org

I A Math Scientific Notation Units Ii Kinematics
Physics Free Fall Worksheet Answers Worksheet List
Https Encrypted Tbn0 Gstatic Com Images Q Tbn And9gcq6zlppvrsam3asnaqc Keuambfyyryuxuliaiq0ip6k6clbzgg Usqp Cau

I A Math Scientific Notation Units Ii Kinematics

I A Math Scientific Notation Units Ii Kinematics
![]()
01 Gravitation Interactive Gravitation Interactive Use A Different Color Font To Answer The Questions Purpose The Purpose Of This Activity Is To Course Hero

Momentum Impulse And Momentum Change Pdf Free Download

The Name That Motion Concept Builder Is A Concept Building Tool That Challenges The Learner To Match 11 Verbal Descriptions To 11 Names Progress Report Motion

Uniform Acceleration Worksheet 2 Free Fall Answers

Physics Classroom Free Fall Answers Free Fall Problems Answer Key
Newton S Laws Elephant And Feather Air Resistance Science Netlinks

Solved Lab Gravitational Acceleration Free Fall Physics Math Worksheets Fractions Simple Problems Answers Basic Kindergarten Timetable Worksheet Sumnermuseumdc Org

Tutoring Physics Worksheets Printable Math Answer Answers Study Key Area Games Grade Play Triangle Theorems Acceleration Worksheet Sumnermuseumdc Org

Solving Free Fall Problems With 5 Examples Youtube

Circuit Worksheets Physics Answers Sumnermuseumdc Org
![]()
Physics Unit 1 Free Fall Practice Problems Worksheet Tpt

Physics Classroom Free Body Diagram Practice Updated With All Answers Youtube

Charge Physics Pages 1 18 Flip Pdf Download Fliphtml5

Acceleration Due To Gravity Iopspark



